
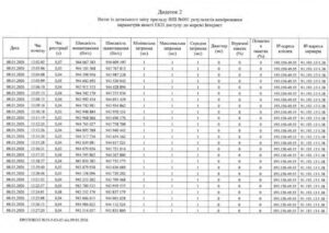
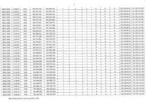
На виконання Постанови Національної комісії, що здійснює державне регулювання у сферах електронних комунікацій, радіочастотного спектра та надання послуг поштового зв’язку від 11 вересня 2024 року № 481 про Порядок оприлюднення інформації щодо якості надання електронних комунікаційних послуг ТОВ “ДНЕПРКОМ” як постачальник електронних комунікаційних мереж та послуг оприлюднює відповідну інформацію:




















